Statistical Analysis of Real-World Operations
Regression, ANOVA, Poisson modeling, and hypothesis testing applied to logistics, manufacturing, and quality control
0.99
Regression R²
p < 0.006
ANOVA (Line Speed)
3
Industries Analyzed
The Problem
Companies across industries make costly operational decisions based on intuition when rigorous statistical analysis could guide them. A logistics provider needs to know how reliably GDP predicts national shipping costs before expanding into new markets. A soda manufacturer is seeing inconsistent fill levels and needs to isolate whether line speed, carbonation, or their interaction is the root cause before investing in equipment changes. A factory manager must justify whether computer-assisted training is worth the investment over group-based methods, and whether their spring production line actually meets specification targets.
Approach
Each domain was treated as a separate statistical investigation with appropriate methods. For the logistics bill problem, simple linear regression was fitted first, followed by residual diagnostics (chi-squared normality test, Breusch-Pagan heteroscedasticity test), then weighted least squares to correct for non-constant variance and produce reliable prediction intervals. For manufacturing, exploratory analysis with correlation testing preceded a two-way ANOVA (4 line speeds x 2 carbonation levels) with Levene's test for equal variance and Tukey post-hoc comparisons to identify which specific speeds drive fill deviations, plus Poisson modeling of equipment breakdowns to inform maintenance staffing. For quality control, F-tests established unequal variance between training groups, leading to Welch's t-test for comparing methods, and normal probability calculations to quantify the out-of-specification rate against tolerances.
Results
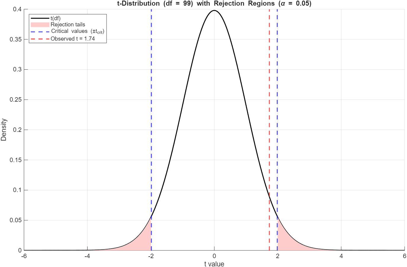
The logistics bill regression achieved R² = 0.99, but the Breusch-Pagan test revealed heteroscedasticity (p = 0.009), meaning the simple model's prediction intervals were unreliable at higher GDP values. Switching to WLS corrected this, giving the provider trustworthy cost forecasts for market expansion decisions. The two-way ANOVA pinpointed line speed as the sole significant driver of fill deviation (p = 0.006), with no carbonation effect (p = 0.46) and no interaction (p = 0.999). Tukey post-hoc testing showed speeds 270 and 300 produce significantly higher deviations than 210, giving the manufacturer a clear target for process optimization rather than a blanket equipment overhaul. Poisson modeling revealed an 80.9% chance of 3 or fewer breakdowns per shift but only a 1.1% chance of a breakdown-free day, justifying continuous maintenance staffing. Welch's t-test found no significant difference in mean assembly times (two-sided p = 0.12; one-sided p = 0.06), meaning the training investment cannot yet be justified statistically and a larger trial is needed. The spring process showed a 1.46% out-of-specification rate with the mean not significantly different from the 44 N target (p = 0.086), confirming the line is performing within acceptable bounds.
Figures



